XWJ新型無堵塞紙漿泵(性能(néng)曲線,性能參數)
時間:2010/5/18 來源:浙江香蕉视频网站江泵業有限公司


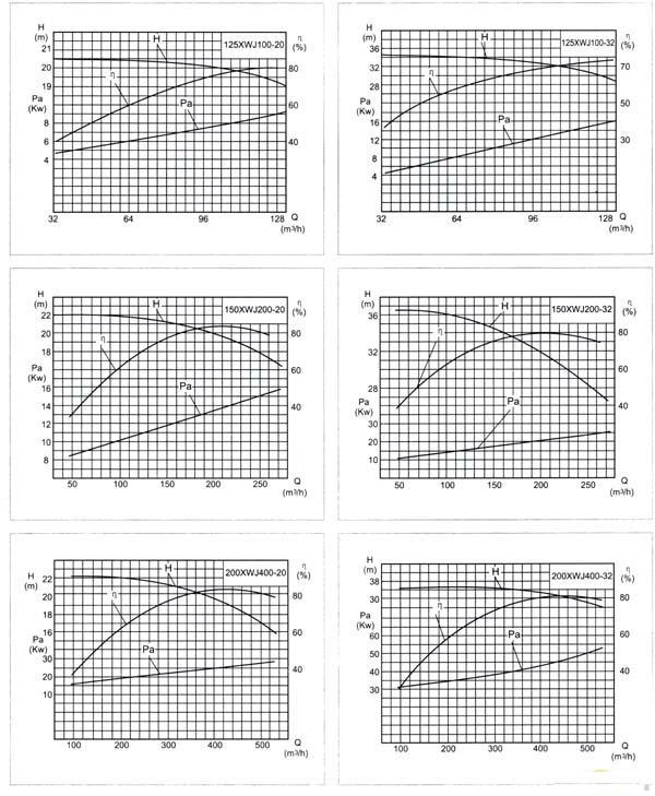
性能參數
|
泵型號 |
流量(m3/h) |
揚程 (m) |
轉速 (r/min) |
配套(tào)電機型號 及功(gōng)率(KW) |
|
|
80XWJ25-12.5 |
|
25 |
12.5 |
1450 |
Y100L1-4/2.2 |
|
A |
20 |
10 |
Y90L-4/1.5 |
||
|
80XWJ25-20 |
|
25 |
20 |
1450 |
Y100L2-4/3 |
|
A |
20 |
16 |
Y100L1-4/2.2 |
||
|
100XWJ50-20 |
|
50 |
20 |
1450
|
Y132S-4/5.5 |
|
A |
45 |
18 |
Y112M-4/4 |
||
|
B |
40 |
16 |
Y112M-4/4 |
||
|
100XWJ50-32 |
|
50 |
32 |
1450 |
Y160M-4/11 |
|
A |
40 |
26 |
Y132S-4/5.5 |
||
|
125XWJ100-20 |
|
100 |
20 |
1450
|
Y160M-4/11 |
|
A |
90 |
18 |
Y132M-4/7.5 |
||
|
B |
80 |
16 |
Y132M-4/7.5 |
||
|
125XWJ100-32 |
|
100 |
32 |
1450
|
Y160L-4/15 |
|
A |
90 |
28 |
Y160M-4/11 |
||
|
B |
80 |
26 |
Y160M-4/11 |
||
|
150XWJ200-20 |
|
200 |
20 |
1450
|
Y180M-4/18.5 |
|
A |
180 |
18 |
Y160L-4/15 |
||
|
B |
160 |
16 |
Y160M-4/11 |
||
|
150XWJ200-32 |
|
200 |
32 |
1450
|
Y200L-4/30 |
|
A |
187 |
28 |
Y180L-4/22 |
||
|
B |
170 |
24 |
Y180M-4/18.5 |
||
|
200XWJ400-20 |
|
400 |
20 |
1450
|
Y225S-4/37 |
|
A |
380 |
18 |
Y200L-4/30 |
||
|
B |
340 |
15 |
Y180L-4/22 |
||
|
200XWJ400-32 |
|
400 |
32 |
1450
|
Y250M-4/55 |
|
A |
375 |
28 |
Y225M-4/45 |
||
|
B |
340 |
24 |
Y225S-4/37 |
||
型譜圖

- 下一(yī)篇:XWJ新型無堵塞紙漿泵(安裝尺寸)
- 上一篇:FSB係列氟塑料合金離心泵性能參數











