標準文獻 STANDARD DOCUMENT
行業新聞(wén)
您當前位置:網站首頁 >> 標準文獻 >> 詳情內容
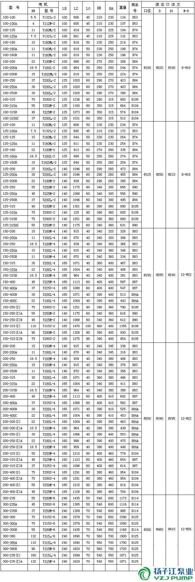
ISW型臥式管道(dào)離心泵(安(ān)裝尺寸)
時間:2010/5/9 來源:浙江香蕉视频网站江(jiāng)泵業(yè)有限公(gōng)司
ISW型臥(wò)式管道離心泵(安裝尺寸)
相關產品
時間:2010/5/9 來源:浙江香蕉视频网站江(jiāng)泵業(yè)有限公(gōng)司
ISW型臥(wò)式管道離心泵(安裝尺寸)